產品目錄
水蜜桃着色视频
液體流量計
蜜桃视频在线观看免费视频
油流量計
精品蜜桃无码APP
橢圓齒輪流量計
電磁流量計
渦街流量計
蒸汽流量計
孔板流量計
旋進旋渦流量計
熱式氣體質量流量計
轉子流量計
浮子流量計
靶式流量計
氣體流量計
超聲波流量計
磁翻板液位計
浮子液位計
浮球液位計
玻璃管液位計
雷達液位計
超聲波液位計
投入式液位計
壓力變送器
差壓變送器
液位變送器
溫度變送器
熱電偶
熱電阻
雙金屬溫度計
推薦產品
聯係蜜桃视频APP下载免费下载
- 金湖蜜桃视频APP下载免费下载儀表有限公司
- 聯係電話:15195518515
- 在線客服:1464856260
- 電話:0517-86801009
- 傳真號碼:0517-86801007
- 郵箱:1464856260@qq.com
- 網址:http://www.yigreen.com
- 地址:江蘇省金湖縣理士大道61號
分析了渦輪流量計校準不確定度的評定
發布時間:2020-11-26 07:58:03 點擊次數:2214次
文摘:根據測量不確定度的原理,詳細分析了渦輪流量計的校準不確定度,推導出它的計算公式,並且結合具體的流量校準裝置進行了簡化和計算舉例。
1、引言
帶遠傳渦輪流量計校準不確定度的評定是在我所新建成的紅油流量校準裝置準備開展渦輪流量計的校準時提出來的。它是在JJG198 94速度式流量計的基礎上,根據測量不確定度原理編寫的。文章從標準體積管校準渦輪流量計的數學模型出發,詳細分析了所有不確定度分量,導出了它們的計算公式,並結合具體的紅油流量校準裝置,給出了簡化公式和計算實例。
2、校準時所用的數學模型
2.1 修正前的*i校準點在標準體積管處的流量按公式(1)計算
qsig=V/Ti (1)
式中:qsig*i校準點在標準體積管處的名義流量(即標準狀態下的流量,下同),L/min;V標準體積管在標準狀態下的標準體積,L;Ti*i校準點流體經過標準體積V時所需的時間,s。
2.2 修正後的*i校準點在標準體積管處的流量按公式(2)計算

式中:qsi*i校準點在標準體積管處的實際流量,L/min;qsig*i校準點在標準體積管處名義流量的平均值,L/min;D標準體積管的內徑,mm;E標準體積管材料的彈性模量,Pa;e標準體積管的壁厚,mm;psi*i校準點在標準體積管處的流體表壓力的平均值,Pa;αp標準體積管的線膨脹數,℃^-1;tsi*i校準點在標準體積管處的流體溫度的平均值,℃;αr體積管測量杆的線膨脹係數,℃^-1;tri*i校準點在體積管測量杆處的溫度,℃。
2.3 在*i校準點,被校流量計的實際流量(即校準值)按公式(3),(4)計算

式中:t所有校準點在流量計處流體溫度的平均值,℃;m被校流量計的流量校準點數目;ti*i校準點在流量計處的流體溫度的平均值,℃;qi*i校準點被校流量計的實際流量,L/min;β流體的體積膨脹係數,℃^-1;k流體的壓縮係數,Pa^-1;pi*i校準點在流量計處的流體表壓力的平均值,Pa。
3、校準不確定度的評定
3.1 未修正的標準體積管流量的標準不確定度u(qsig)的計算
3.1.1 A類評定
由n次測量值引出的標準不確定度分量可用公式(5)計算

3.1.2 B類評定
由公式(1)引出的標準不確定度分量可用公式(6)計算

式中:u( V )標準體積管體積校準的標準不確定度;u(Ti)標準體積管測量時間的標準不確定度。
3.13 未修正的標準體積管流量的合成相對標準不確定度按公式(7)計算

3.2 已修正的標準體積管流量的標準不確定度u(qsi)的計算將公式(2)寫成qsi=qsigCF1CF2

這樣,已修正的標準體積管流量的合成相對標準不確定度可用公式(8)計算


3.3 被校流量計校準值的標準不確定度u(qi)的計算
按不確定度傳遞公式,由公式(4)引出的被校流量計校準值的標準不確定度可用公式(9)計算

3.4 被校流量計校準值的擴展不確定度U可用公式(10)計算
U=2u(qi) (取k=2) (10)
3.5 非校準點的測量不確定度計算
在校準曲線的非校準點上,用內插法時的擴展不確定度U1可用公式(11)計算
U1=2u2(qi)+uB2 (取k=2) (11)
它與校準點上的擴展不確定度U相比,增加了兩個校準點之間的非線性引入的不確定度uB,它可以用B類評定給出。uB=c/3,c為兩個校準點之間非線性的*大偏差估值的一半。
3.6 *小二乘法擬合直線上任意點的不確定度
將m個校準值用*小二乘法擬合成直線時,擬合線上任意點的擴展不確定度U2可用公式(12)式計算
U2=2u2(qi)+uA2 (取k=2) (12)
它與校準點上的擴展不確定度U相比,增加了由於各個校準值與擬合直線的偏差引入的不確定度uA,它可以用A類評定給出。
設由m個校準值用*小二乘法擬合的*佳直線方程為
q=a+bf (13)
式中:q對應於f在擬合直線上的流量值,L/min;f流量計輸出頻率,Hz;a= q-bf,

流量計在校準點上輸出頻率的平均值,Hz。
它的估計標準偏差為

式中:q(fi)用*小二乘法公式計算出的*i校準點的頻率fi所對應的流量值,L/min。
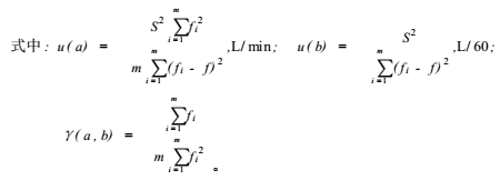
這樣,q(fi)的標準不確定度uA可用公式(14)表示
uA=u2(a)+fi2u2(b)+b2u2(fi)+2fiu(a)u(b)γ(a,b) (14)

4、校準不確定度的簡化計算
以上是對通用的標準體積管在校準渦輪流量計時的校準不確定度的詳細分析,但在具體的標準體積管的流量校準係統中往往可以簡化。下麵就紅油流量校準係統的校準不確定度進行簡化。
4.1 簡化未修正的標準體積管流量的標準不確定度u(qsig)
在該係統中:

而在*大流量校準時Ti=1.27s,那麽,在其他校準點校準時Ti>1.27s。可得

這樣,公式(7)就可以簡化為

4.2 簡化已修正的標準體積管流量的標準不確定度u(qsi)
在係統中:

下麵將對公式(8)進行分析計算


4.3 被校流量計校準值的標準不確定度u(qi)的簡化

下麵將對公式(9)進行分析計算:

綜合上述分析,可以將公式(9)簡化為

4.4 *小二乘直線引入的不確定度uA的簡化
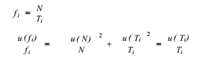
由於標準體積管在測量渦輪流量計的脈衝個數N時,采用了雙計時法,消除了脈衝計數時的±1字的誤差,這樣頻率的測量標準不確定度可以寫成


5、渦輪流量計校準不確定舉例
5.1 實測數據及係統有關參數
實測數據見表1。

5.2 未修正的標準體積管流量的標準不確定度

5.3 修正後的標準體積管流量的標準不確定度
先計算u(tsi)
u(tsi)=u12(tsi)+u22(tsi)
式中:u1(tsi)*i校準點體積管處溫度變化引入的標準不確定度;u2(tsi)測溫變送器的測量不確定度。
在這個例子中

根據公式(16)計算得

5.4 被校流量計校準值不確定度
根據公式(2)計算qsi

u(t)與u(tsi)的計算方法相似,它也包含測溫變送器的測量不確定度和被校流量計處紅油溫度的變化所引起的測量不確定度

根據公式(17)計算u(qi)

相關資訊
- 精品蜜桃无码APP安裝直管段要求
- 精品蜜桃无码APP的結構與工作原理
- 精品蜜桃无码APP的產品特點和適用範圍
- 精品蜜桃无码APP選型指南與外形尺寸
- 渦輪流量計的常見故障及排除
- 渦輪流量表怎麽調節
- 渦輪流量計安裝直管段要求
- 渦輪流量計的適用場合與量程範圍
- 渦輪流量計由什麽組成
- 渦輪流量計的工作原理
- 壓力對渦輪流量計精度的影響
- 水蜜桃着色视频使用常見問題
- 水蜜桃着色视频的使用場合
- 水蜜桃着色视频怎麽接電
- 渦輪流量計的使用範圍
- 渦輪流量計安裝條件與環境要求
- 渦輪流量計安裝在什麽位置
- 水蜜桃着色视频設置方法
- 精品蜜桃无码APP使用環境
- 精品蜜桃无码APP使用注意事項
- 精品蜜桃无码APP怎麽清洗
- 精品蜜桃无码APP適用範圍
- 精品蜜桃无码APP為什麽要加油
- 精品蜜桃无码APP波動大解決辦法
- 精品蜜桃无码APP安裝距離要求
- 精品蜜桃无码APP安裝注意事項
- 精品蜜桃无码APP應用範圍
- 精品蜜桃无码APP常見故障有哪些
- 提高精品蜜桃无码APP精度的方法
- 精品蜜桃无码APP精度等級

