產品目錄
水蜜桃着色视频
液體流量計
蜜桃视频在线观看免费视频
油流量計
精品蜜桃无码APP
橢圓齒輪流量計
電磁流量計
渦街流量計
蒸汽流量計
孔板流量計
旋進旋渦流量計
熱式氣體質量流量計
轉子流量計
浮子流量計
靶式流量計
氣體流量計
超聲波流量計
磁翻板液位計
浮子液位計
浮球液位計
玻璃管液位計
雷達液位計
超聲波液位計
投入式液位計
壓力變送器
差壓變送器
液位變送器
溫度變送器
熱電偶
熱電阻
雙金屬溫度計
推薦產品
聯係蜜桃视频APP下载免费下载
- 金湖蜜桃视频APP下载免费下载儀表有限公司
- 聯係電話:15195518515
- 在線客服:1464856260
- 電話:0517-86801009
- 傳真號碼:0517-86801007
- 郵箱:1464856260@qq.com
- 網址:http://www.yigreen.com
- 地址:江蘇省金湖縣理士大道61號
dn25精品蜜桃无码APP在不同壓力下計量性能
發布時間:2021-01-17 15:33:08 點擊次數:1947次
摘要:在天然氣輸送管道與貿易計量、城市燃氣工商業用戶的流量計量中,常采用dn25精品蜜桃无码APP。dn25精品蜜桃无码APP發展曆史悠久,也積累了相當的天然氣應用數據,被認為計量準確度高、適用性良好的天然氣流量計量儀表。由於使用場所的工作條件各不相同,工作壓力根據應用的需要一般從幾千帕到幾兆帕,而在我國的計量機構一般采用負壓裝置檢定。對於在不同壓力條件下,dn25精品蜜桃无码APP的計量特性的數據還非常缺乏。文章基於具備流量計製造生產的條件下,分別對不同規格的dn25精品蜜桃无码APP在臨界流噴嘴流量裝置、高壓環道流量標準裝置進行檢定,試驗壓力分別為負壓、0.1MPa、0.8MPa和2.0MPa,從而探索dn25精品蜜桃无码APP在不同壓力下的計量特性,供dn25精品蜜桃无码APP製造企業作為設計及改進的參考。
天然氣作為重要的潔淨能源,近幾年在城市中的應用迅猛發展。城市高壓天然氣管網,給城市提供天然氣關係到千家萬戶,然而天然氣是一種非理想氣體,實際輸送的壓力高於常壓。在遇到天然氣輸送管線泄漏或檢修時會導致天然氣壓力大幅波動;或者由於天然氣輸送管線中出現民用高峰期時,也會造成天然氣壓力波動等。
現在國內的氣體流量計生產廠家一般采用音速噴嘴或鍾罩法來進行產品檢定,而出於經濟上和技術上的考慮,它們中的大多數使用的是負壓法的音速文丘裏噴嘴檢定裝置。而采用負壓法的裝置上隻能用空氣作介質對流量計進行常壓檢定,但是流量計的實際工作環境要遠比此複雜。在低壓力下標定後在高壓力下使用,在低密度下標定後在高密度下使用,流量計儀表係數都有改變的可能,那麽,壓力的增加、密度的變化會對氣體流量計的儀表係數產生多大的影響?根據國內外相關文獻研究得出,影響儀表係數變化的因素有:(1)介質密度的影響。(2)粘度變化的影響。(3)溫度變化的影響。(4)壓力變化的影響等。
dn25精品蜜桃无码APP作為目前國內少數能在高壓下計量的流量計,本文將對其在不同氣體流體壓力下的計量性能進行研究及試驗,主要分析渦輪流量計在氣體流體的不同壓力下,流量計儀表係數的變化情況,驗證其計量性能是否能夠滿足計量要求。
1dn25精品蜜桃无码APP的基本結構和工作原理
渦輪流量計由渦輪流量傳感器和流量顯示儀表組成。將渦輪流量計感知流體流速的渦輪組件(包括前後導流體、葉輪、軸承、殼體、信號檢測組件)統稱為渦輪流量傳感器。圖1為渦輪流量計的基本結構圖。

根據動量守恒定律通過渦輪受理過程進行分析,可以比較直觀地描述基本工作過程,流體通過時推動葉輪,產生主動力矩。dn25精品蜜桃无码APP屬於速度式流量計,渦輪流量傳感器輸出與流量成正比關係的脈衝頻率,輸入到流量顯示儀表或計算機。在某**量範圍和一定粘度範圍內,渦輪流量計輸出的信號脈衝頻率f與通過渦輪流量計的體積流量qV成正比,即:
f=KqV (1)
式中,K為渦輪流量計的儀表係數,1/L或1/m3,儀表係數K應為一常數,其數值由實驗標準標定得到。每台渦輪流量傳感器的校準(或合格)證上都標明經過實流檢定測得分段不同流量範圍的儀表係數K值。
儀表係數K的意義是單位體積流量通過渦輪流量傳感器輸出的信號脈衝頻率f(或信號脈衝總數N)。所以,當測得傳感器輸出的信號脈衝頻率或某一時間內的脈衝總數N後,分別除以儀表係數K,就可得到體積流量qV或流量總量Q,即:

要使渦輪流量計能夠較準確的工作,其儀表係數K必須為常數。但實際上渦輪流量計的工作特性並非如此,即:

式中,r為葉輪的平均半徑;ρ為流體的密度;A為流通截麵積;θ為渦輪葉片與軸線的夾角;Trm為機械摩擦阻力矩;Trf為流體阻力矩。
以DN50為例,其流量特性曲線如圖2所示。

在理想狀態下,也就是假定渦輪處於勻速運動的平衡狀態,機械摩擦阻力矩Trm和流體阻力矩Trf都足夠小至可以忽略不計的狀態,儀表係數與流量的關係為

可見,理想特性僅僅與渦輪流量計的結構參數有關,儀表係數為一個常數,與流體變化無關。
2試驗
試驗選用了采用我司研發生產的1台TBQM-G65-DN50和1台TBQM-G100-DN80口徑的dn25精品蜜桃无码APP作為研究對象,流量範圍分別為6.5~100m3/h和8~160m3/h。依照JJG1037—2008《渦輪流量計檢定規程》規定,流量檢定點應包括qmax、0.7qmax、0.40qmax、0.25qmax、qt、0.1qmax、qmin。所以,相應的TBQM-G65-DN50的流量檢定點為:100、70、40、25、20、10、6.5m3/h;TBQM-G100-DN80的流量檢定點為:160、112、64、40、32、16、8m3/h,其中每個流量點測試3次。
2.1檢定所用的裝置
采用DresserInnovativeGasMeteringSolutions裝置進行負壓檢定,如圖3所示,其流量範圍為0.5~1600m3/h,檢測口徑為DN25~DN150,不確定度為0.25%。

高壓環道氣體流量標準裝置,如圖4所示,該裝置可在實際工作的壓力狀態下檢測流量計的性能,主要部件都來自德國,是國內*台閉環式高壓氣體裝置。其流量範圍為1~2500m3/h,檢測口徑為DN20~DN250,工作壓力範圍為0.1~2.0MPa,不確定度為0.33%。目前,我司的高壓環道裝置已將量傳到歐洲VSL國際標準實驗室,也正在申請國內取證和建標,並且正在和浙江省院以及中國計量院做實驗對比工作。采用該套裝置進行壓力為0.1MPa、0.8MPa和2.0MPa的檢定。

2.2檢定所得儀表係數
不同壓力下每個流量計的儀表係數如表1和表2所示。

流量計儀表係數:

式中,K為流量計的儀表係數,1/m3;(Ki)max為流量計在qt到qmax流量範圍各流量檢定點得到的Ki中的*大值,1/m3;(Ki)min為流量計在qt到qmax流量範圍各流量檢定點得到的Ki中的*小值,1/m3。
計算所得的不同壓力下儀表係數如表3和表4所示。


2.3檢定數據處理與分析
2.3.1儀表係數分析
根據表1和表2繪製得到不同壓力下dn25精品蜜桃无码APP的儀表係數特性,如圖5和圖6所示。


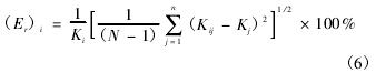
隨著工作壓力的變化,渦輪流量計儀表係數的變化很小。參考JJG1037—2008《渦輪流量計檢定規程》計量檢定規程中流量計的重複性的計算方法,可以定義不同壓力下渦輪流量計儀表係數的重複性為:

式中:(Er)i為不同工作壓力下流量計儀表係數的重複性,%;Ki為不同工作壓力下流量計儀表係數的平均係數,1/m3;Kij為*i種工作壓力下流量計的儀表係數,1/m3;n為不同工作壓力的個數。
計算得出TBQM-G65-DN50在不同工作壓力下流量計儀表係數的重複性:

2.3.2線性度分析
歐洲標準EN12261:2002的有關規定———*5.2.1.1款,本款對於儀表的固有性能提出了嚴格的要求,即如果儀表特性試驗在多於一個壓力下進行,對於公稱口徑大於100mm的流量計,在0.25qmax和qmax之間的所有結果間的差不得大於0.5%,對於公稱口徑小於等於100mm的流量計,在0.25qmax和qmax之間的所有結果間的差不得大於1.0%。
根據表1和表2中的數據進行計算,對於TBQM-G65-DN50,所有檢定結果*大差值為0.558%;TBQM-G100-DN80的所有檢定結果*大差值為0.904%,結果均符合標準。
2.4小結
(1)根據式(6)計算出的在不同工作壓力下流量計儀表係數的重複性,說明渦輪流量計儀表係數受壓力變化的敏感性較小。TBQM-G65-DN50在4種不同壓力下流量計儀表係數變化的重複性僅為0.502%,而TBQM-G100-DN80的重複性僅為0.282%。
(2)隨著工作壓力的變化,渦輪流量計線性度變化不大。說明流體工作壓力的變化對渦輪流量計的線性度影響很小。圖5和圖6是在4種不同壓力下2台dn25精品蜜桃无码APP的儀表係數隨流量變化的曲線。從圖中可以很直觀地看出,在流量的上下限之間,壓力對渦輪流量計儀表係數的影響。4種不同壓力下的曲線型一致性很好,也與圖2中理論的特性曲線有較好的符合性,隻是高壓相較於低壓曲線整體向上漂移。
(3)經過計算分析,流量計符合歐洲標準EN12261的有關規定———*5.2.1.1款。
(4)此外,根據所有線性度結果計算得出,壓力的變化對儀表係數的影響小於流量變化的影響。
3儀表係數研究討論
3.1流量顯示裝置
前文已經提到,渦輪流量計是由渦輪流量傳感器和流量顯示儀表組成。目前公知的渦輪流量計大概采用以下幾種流量顯示儀表:帶字輪的機械計算器、帶溫度和壓力補償的電子顯示裝置、流量計算機和帶無線遠傳功能的電子顯示裝置等。
上述提到的顯示裝置除了流量計算機,其餘都是通過機芯上主軸的蝸杆與齒輪的配合傳遞扭矩,並通過齒輪減速傳動以及磁耦合聯接驅動字輪計數器轉動而得到流量累積與顯示,俗稱低頻取信號方式。流量計算機包含兩種取信號方式,如前文所述的低頻,另外一種是直接取葉輪轉動的信號,俗稱高頻。
3.2機械計數器齒輪調整
渦輪流量計出廠前用取高頻信號方法進行標定,然後根據得出儀表係數進行機械計數器內齒輪配對,傳動比盡量接近標定出的儀表係數。也就是說,蜜桃视频APP下载免费下载可以調整齒輪配對以滿足儀表係數的變化。
從上文得知,不同壓力波動是存在的,若流量計工作壓力波動範圍較小,建議其在實際工作壓力下進行相應測試按其檢定數據配齒,使實際傳動比的理論儀表係數盡可能接近在該壓力點下測試的儀表係數,流量計的計量將更加精確。
但是,機械計數器有一缺點,調配出的儀表係數是固定,隻能對某**量點進行修正,不能對所有流量點修正。所以對於某些流量點來說,誤差可能還是存在的。
3.3電子表頭修正
二次電子顯示裝置、體積修正儀、流量計算機等俗稱電子表頭,其液晶屏幕上可顯示多種信息,比如瞬時流量、總流量、溫度和壓力等。電子表頭含有非常多的功能,可以根據溫度壓力對流體體積進行修正,可以根據流量或者表壓的不同進行儀表係數的調整,使在用流量計的流量特性曲線接近一條直線,這就大大提高了流量計的準確度。帶電子表頭的渦輪流量計很好地解決了帶機械計數器流量計存在的問題,其可以進行每個流量點的儀表係數修正。然而,它也同樣有缺點,比如說安全防爆問題,還有電子表頭價格昂貴,不便於普及。
4結束語
dn25精品蜜桃无码APP儀表係數受壓力變化的敏感性較小,TBQM-G65-DN50的儀表係數變化的重複性僅為0.502%,而TBQM-G100-DN80的重複性僅為0.282%。隨著工作壓力的變化,渦輪流量計線性度變化不大。在4種不同壓力下2台dn25精品蜜桃无码APP的儀表係數曲線型一致性很好,與理論的特性曲線有很好的符合性,隻是對於DN50口徑的dn25精品蜜桃无码APP來說,高壓相較於低壓曲線整體向上漂移,而DN80口徑的dn25精品蜜桃无码APP相對穩定,波動更小。流量計符合歐洲標準EN12261的有關規定———*5.2.1.1款。壓力的變化對儀表係數的影響小於流量變化的影響。
雖然在不同壓力下,dn25精品蜜桃无码APP的儀表性能有些許波動,但是靠著機械計數器和電子表頭的調整或修正,其儀表性能將能加穩定且準確。
鑒於目前的試驗研究還不夠係統和全麵,需開展進一步的研究才能明確不同壓力下對dn25精品蜜桃无码APP的影響,特別是檢定的介質如能用天然氣,那麽試驗結果將更具說服力。
天然氣作為重要的潔淨能源,近幾年在城市中的應用迅猛發展。城市高壓天然氣管網,給城市提供天然氣關係到千家萬戶,然而天然氣是一種非理想氣體,實際輸送的壓力高於常壓。在遇到天然氣輸送管線泄漏或檢修時會導致天然氣壓力大幅波動;或者由於天然氣輸送管線中出現民用高峰期時,也會造成天然氣壓力波動等。
現在國內的氣體流量計生產廠家一般采用音速噴嘴或鍾罩法來進行產品檢定,而出於經濟上和技術上的考慮,它們中的大多數使用的是負壓法的音速文丘裏噴嘴檢定裝置。而采用負壓法的裝置上隻能用空氣作介質對流量計進行常壓檢定,但是流量計的實際工作環境要遠比此複雜。在低壓力下標定後在高壓力下使用,在低密度下標定後在高密度下使用,流量計儀表係數都有改變的可能,那麽,壓力的增加、密度的變化會對氣體流量計的儀表係數產生多大的影響?根據國內外相關文獻研究得出,影響儀表係數變化的因素有:(1)介質密度的影響。(2)粘度變化的影響。(3)溫度變化的影響。(4)壓力變化的影響等。
dn25精品蜜桃无码APP作為目前國內少數能在高壓下計量的流量計,本文將對其在不同氣體流體壓力下的計量性能進行研究及試驗,主要分析渦輪流量計在氣體流體的不同壓力下,流量計儀表係數的變化情況,驗證其計量性能是否能夠滿足計量要求。
1dn25精品蜜桃无码APP的基本結構和工作原理
渦輪流量計由渦輪流量傳感器和流量顯示儀表組成。將渦輪流量計感知流體流速的渦輪組件(包括前後導流體、葉輪、軸承、殼體、信號檢測組件)統稱為渦輪流量傳感器。圖1為渦輪流量計的基本結構圖。

根據動量守恒定律通過渦輪受理過程進行分析,可以比較直觀地描述基本工作過程,流體通過時推動葉輪,產生主動力矩。dn25精品蜜桃无码APP屬於速度式流量計,渦輪流量傳感器輸出與流量成正比關係的脈衝頻率,輸入到流量顯示儀表或計算機。在某**量範圍和一定粘度範圍內,渦輪流量計輸出的信號脈衝頻率f與通過渦輪流量計的體積流量qV成正比,即:
f=KqV (1)
式中,K為渦輪流量計的儀表係數,1/L或1/m3,儀表係數K應為一常數,其數值由實驗標準標定得到。每台渦輪流量傳感器的校準(或合格)證上都標明經過實流檢定測得分段不同流量範圍的儀表係數K值。
儀表係數K的意義是單位體積流量通過渦輪流量傳感器輸出的信號脈衝頻率f(或信號脈衝總數N)。所以,當測得傳感器輸出的信號脈衝頻率或某一時間內的脈衝總數N後,分別除以儀表係數K,就可得到體積流量qV或流量總量Q,即:

要使渦輪流量計能夠較準確的工作,其儀表係數K必須為常數。但實際上渦輪流量計的工作特性並非如此,即:

式中,r為葉輪的平均半徑;ρ為流體的密度;A為流通截麵積;θ為渦輪葉片與軸線的夾角;Trm為機械摩擦阻力矩;Trf為流體阻力矩。
以DN50為例,其流量特性曲線如圖2所示。

在理想狀態下,也就是假定渦輪處於勻速運動的平衡狀態,機械摩擦阻力矩Trm和流體阻力矩Trf都足夠小至可以忽略不計的狀態,儀表係數與流量的關係為

可見,理想特性僅僅與渦輪流量計的結構參數有關,儀表係數為一個常數,與流體變化無關。
2試驗
試驗選用了采用我司研發生產的1台TBQM-G65-DN50和1台TBQM-G100-DN80口徑的dn25精品蜜桃无码APP作為研究對象,流量範圍分別為6.5~100m3/h和8~160m3/h。依照JJG1037—2008《渦輪流量計檢定規程》規定,流量檢定點應包括qmax、0.7qmax、0.40qmax、0.25qmax、qt、0.1qmax、qmin。所以,相應的TBQM-G65-DN50的流量檢定點為:100、70、40、25、20、10、6.5m3/h;TBQM-G100-DN80的流量檢定點為:160、112、64、40、32、16、8m3/h,其中每個流量點測試3次。
2.1檢定所用的裝置
采用DresserInnovativeGasMeteringSolutions裝置進行負壓檢定,如圖3所示,其流量範圍為0.5~1600m3/h,檢測口徑為DN25~DN150,不確定度為0.25%。

高壓環道氣體流量標準裝置,如圖4所示,該裝置可在實際工作的壓力狀態下檢測流量計的性能,主要部件都來自德國,是國內*台閉環式高壓氣體裝置。其流量範圍為1~2500m3/h,檢測口徑為DN20~DN250,工作壓力範圍為0.1~2.0MPa,不確定度為0.33%。目前,我司的高壓環道裝置已將量傳到歐洲VSL國際標準實驗室,也正在申請國內取證和建標,並且正在和浙江省院以及中國計量院做實驗對比工作。采用該套裝置進行壓力為0.1MPa、0.8MPa和2.0MPa的檢定。

2.2檢定所得儀表係數
不同壓力下每個流量計的儀表係數如表1和表2所示。

流量計儀表係數:

式中,K為流量計的儀表係數,1/m3;(Ki)max為流量計在qt到qmax流量範圍各流量檢定點得到的Ki中的*大值,1/m3;(Ki)min為流量計在qt到qmax流量範圍各流量檢定點得到的Ki中的*小值,1/m3。
計算所得的不同壓力下儀表係數如表3和表4所示。


2.3檢定數據處理與分析
2.3.1儀表係數分析
根據表1和表2繪製得到不同壓力下dn25精品蜜桃无码APP的儀表係數特性,如圖5和圖6所示。


隨著工作壓力的變化,渦輪流量計儀表係數的變化很小。參考JJG1037—2008《渦輪流量計檢定規程》計量檢定規程中流量計的重複性的計算方法,可以定義不同壓力下渦輪流量計儀表係數的重複性為:

式中:(Er)i為不同工作壓力下流量計儀表係數的重複性,%;Ki為不同工作壓力下流量計儀表係數的平均係數,1/m3;Kij為*i種工作壓力下流量計的儀表係數,1/m3;n為不同工作壓力的個數。
計算得出TBQM-G65-DN50在不同工作壓力下流量計儀表係數的重複性:

2.3.2線性度分析
歐洲標準EN12261:2002的有關規定———*5.2.1.1款,本款對於儀表的固有性能提出了嚴格的要求,即如果儀表特性試驗在多於一個壓力下進行,對於公稱口徑大於100mm的流量計,在0.25qmax和qmax之間的所有結果間的差不得大於0.5%,對於公稱口徑小於等於100mm的流量計,在0.25qmax和qmax之間的所有結果間的差不得大於1.0%。
根據表1和表2中的數據進行計算,對於TBQM-G65-DN50,所有檢定結果*大差值為0.558%;TBQM-G100-DN80的所有檢定結果*大差值為0.904%,結果均符合標準。
2.4小結
(1)根據式(6)計算出的在不同工作壓力下流量計儀表係數的重複性,說明渦輪流量計儀表係數受壓力變化的敏感性較小。TBQM-G65-DN50在4種不同壓力下流量計儀表係數變化的重複性僅為0.502%,而TBQM-G100-DN80的重複性僅為0.282%。
(2)隨著工作壓力的變化,渦輪流量計線性度變化不大。說明流體工作壓力的變化對渦輪流量計的線性度影響很小。圖5和圖6是在4種不同壓力下2台dn25精品蜜桃无码APP的儀表係數隨流量變化的曲線。從圖中可以很直觀地看出,在流量的上下限之間,壓力對渦輪流量計儀表係數的影響。4種不同壓力下的曲線型一致性很好,也與圖2中理論的特性曲線有較好的符合性,隻是高壓相較於低壓曲線整體向上漂移。
(3)經過計算分析,流量計符合歐洲標準EN12261的有關規定———*5.2.1.1款。
(4)此外,根據所有線性度結果計算得出,壓力的變化對儀表係數的影響小於流量變化的影響。
3儀表係數研究討論
3.1流量顯示裝置
前文已經提到,渦輪流量計是由渦輪流量傳感器和流量顯示儀表組成。目前公知的渦輪流量計大概采用以下幾種流量顯示儀表:帶字輪的機械計算器、帶溫度和壓力補償的電子顯示裝置、流量計算機和帶無線遠傳功能的電子顯示裝置等。
上述提到的顯示裝置除了流量計算機,其餘都是通過機芯上主軸的蝸杆與齒輪的配合傳遞扭矩,並通過齒輪減速傳動以及磁耦合聯接驅動字輪計數器轉動而得到流量累積與顯示,俗稱低頻取信號方式。流量計算機包含兩種取信號方式,如前文所述的低頻,另外一種是直接取葉輪轉動的信號,俗稱高頻。
3.2機械計數器齒輪調整
渦輪流量計出廠前用取高頻信號方法進行標定,然後根據得出儀表係數進行機械計數器內齒輪配對,傳動比盡量接近標定出的儀表係數。也就是說,蜜桃视频APP下载免费下载可以調整齒輪配對以滿足儀表係數的變化。
從上文得知,不同壓力波動是存在的,若流量計工作壓力波動範圍較小,建議其在實際工作壓力下進行相應測試按其檢定數據配齒,使實際傳動比的理論儀表係數盡可能接近在該壓力點下測試的儀表係數,流量計的計量將更加精確。
但是,機械計數器有一缺點,調配出的儀表係數是固定,隻能對某**量點進行修正,不能對所有流量點修正。所以對於某些流量點來說,誤差可能還是存在的。
3.3電子表頭修正
二次電子顯示裝置、體積修正儀、流量計算機等俗稱電子表頭,其液晶屏幕上可顯示多種信息,比如瞬時流量、總流量、溫度和壓力等。電子表頭含有非常多的功能,可以根據溫度壓力對流體體積進行修正,可以根據流量或者表壓的不同進行儀表係數的調整,使在用流量計的流量特性曲線接近一條直線,這就大大提高了流量計的準確度。帶電子表頭的渦輪流量計很好地解決了帶機械計數器流量計存在的問題,其可以進行每個流量點的儀表係數修正。然而,它也同樣有缺點,比如說安全防爆問題,還有電子表頭價格昂貴,不便於普及。
4結束語
dn25精品蜜桃无码APP儀表係數受壓力變化的敏感性較小,TBQM-G65-DN50的儀表係數變化的重複性僅為0.502%,而TBQM-G100-DN80的重複性僅為0.282%。隨著工作壓力的變化,渦輪流量計線性度變化不大。在4種不同壓力下2台dn25精品蜜桃无码APP的儀表係數曲線型一致性很好,與理論的特性曲線有很好的符合性,隻是對於DN50口徑的dn25精品蜜桃无码APP來說,高壓相較於低壓曲線整體向上漂移,而DN80口徑的dn25精品蜜桃无码APP相對穩定,波動更小。流量計符合歐洲標準EN12261的有關規定———*5.2.1.1款。壓力的變化對儀表係數的影響小於流量變化的影響。
雖然在不同壓力下,dn25精品蜜桃无码APP的儀表性能有些許波動,但是靠著機械計數器和電子表頭的調整或修正,其儀表性能將能加穩定且準確。
鑒於目前的試驗研究還不夠係統和全麵,需開展進一步的研究才能明確不同壓力下對dn25精品蜜桃无码APP的影響,特別是檢定的介質如能用天然氣,那麽試驗結果將更具說服力。

